iTest қолданбасын жүктеп алу
Мектеп емтихандарына ыңғайлырақ форматта дайындалыңыз
3-нұсқа
-
Ондық санау жүйесінде 255 саны екілік санау жүйесінде ұсынылуы:
-
(⌐А ^B) өрнегінің мәні ақиқат болу үшін А мен B пікірінің бастапқы мәндері
-
100 Мбайттық ақпарат көлемі бос жадыға, 12000 беттен, әр жолда 50 жолдан, әр жолда 25 симолдан тұратын неше кітапты көшіруге болатынын анықтаңыз.
-
print((45//5) %10) өрнегінің мәні
-
MS Excel бағдарламасында С1:D4 блогындағы ұяшықтар саны
-
A = 1, B = 1, C = 0 теру кезінде F функциясының нәтижесін анықтаңыз
¬ (¬B·¬C) ·¬(¬A·¬C)
-
F функциясының қай жиынтығында логикалық өрнек 0 мәнін алады
(A+¬B)+(¬A&C+¬B&¬C)
-
Электронды кестеде 4 ұяшықтан тұратын блок ерекшеленді алынады Сол ұяшық блогының адресі
-
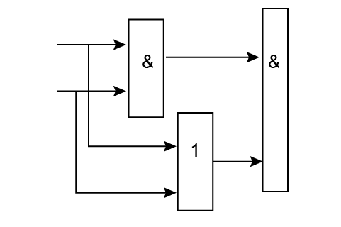
Суреттегі логикалық схемаға сәйкес келетін формуланы таңдаңыз.

-
Программа орындалғандағы алынатын нәтижені анықтаңыз
A=[1,2,3,4,5]
A.append([6,7,8,9,10])
print(a) -
Пайдаланушыға программаға немесе процесске рұқсат беру
-
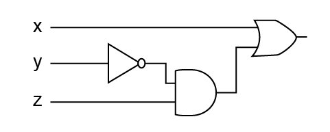
Төмендегі логикалық схемаға сәйкес өрнекті анықтаңыз

-
Программа нәтижесін анықтаңыз

-
Өткізу қабілеті 5242880 бит/с. Жіберілетін ақпарат көлемі 100 Мбайт. Ақпаратты тасымалдау уақытын есептеңіз (секунд, минут).
-
Берілген логикалық сызба үшін логикалық өрнекті және A=1, B=0, C=1 мәндерінде алынатын нәтижені анықтаңыз

-
Web-бетке бейнені кірістірудің командасы
-
School дерек қорының Pupils кестесінен Surname және Name өрістері мәндерін өсу бойынша сұрыптап шығаратын команда:

-
"SELECT name ___ employees WHERE age ___ 35 AND 50" сұрауы жасы 35 пен 50 жас аралығындағы жұмысшылардың аттарын қайтарады. Сұраудағы бос орындарды толтырыңыз.
-
Төменднгі ақиқат кестесіне сәйкес келетін логикалық өрнекті табыңыз

-
HTML тілінде берілген кодтың нәтижесін анықтаңыз

-
HTML тілінде берілген кодтың нәтижесін анықтаңыз

-
HTML-де кестенің ұяшықтағы мән мен шекара арасындағы арақашықтығын көрсететін атрибут атауы
-
HTML-де берілген екі азат жолдың екеуін де бірдей түске ауыстыру үшін қандай тег қолданылады?
-
Берілген суреттегідей тізім жасау үшін HTML-тілінде дұрыс жазылған кодты табыңыз

-
Берілген логикалық өрнекке сәйкес схеманы көрсетіңіз

-
Келесі оператордың мәні неге тең болатынын анықтаңыз.
k=0
for i in range(1, k+3):
⠀⠀k=k+i
⠀⠀print(l)
-
Сегіздік санау жүйесіндегі 225\(_8\) және оналтылық санау жүйесіндегі 225\(_{16}\) санын ондық санау жүйесіне ауыстырыңыз..
-
Суреттегі логикалық схемаға сәйкес келетін логикалық функцияны таңдаңыз

-
Тізім жасауға пайдаланылатын HTML тегтер
-
Ішкі желінің маскасы ретінде пайдалануға болатын барлық мәндерді көрсетіңіз.
-
Программа мен олардан алынатын нәтиже арасында сәйкестікті орнатыңыз.
-

-

-
Программа мен олардан алынатын нәтиже арасында сәйкестікті орнатыңыз.
-

-

-
Программа мен олардан алынатын нәтиже арасында сәйкестікті орнатыңыз.
-

-

-
Берілген s жолы мен программалар және нәтижелер арасындағы дұрыс сәйкестікті анықтаңыз
s = “I like coding!”
-
print(s[ -7 : -1 ])
-
print(s[ 0 : 6])
-
Берілген s жолы мен программалар және нәтижелер арасындағы дұрыс сәйкестікті анықтаңыз
s = “Computer Science”
-
print(s[1] + s[0] + s[-6] + s[2] + s[6])
-
print(s[2] + s[0] + s[-7] + s[5:7])