Скачай приложение iTest
Готовься к школьным экзаменам в более удобном формате
Вариант 3
-
Для подключения стационарного компьютера к Интернет через телефонную линию вам нужно сетевое устройство
-
Из имеющихся частей (фрагментов), представленных в таблице, восстановите полный IP-адрес

-
Маска IP-адреса с префиксом 192.168.104.56/25 выглядит
-
Устройство, расширяющее вычислительные возможности основного процессора
-
За какое время будет передан файл объемом 210000, если скорость передачи данных в сети 56000 бит/сек?
-
Формулу из ячейки D2 скопировали в D4. Формула приняла вид

-
Значение ячейки С4, если содержимое ячейки C2 скопировали в ячейку С4

-
Содержимое ячейки F1

-
Содержимое ячейки В11

-
Результатом выполнения условного оператора является False
-
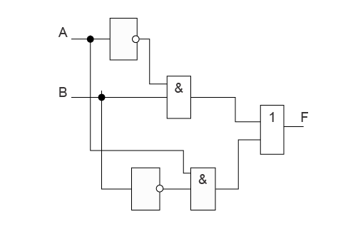
При наборе значений (0, 1, 0) лампочка не загорится в следующей логической схеме
-
Логическая формула для данной логической схемы

-
Значение переменной s = '25' + '47'
-
Результат выполнения следующего кода

-
Результат данного кода

-
Результат данного кода

-
Результатом кода является сумму трёх

-
HTML элемент формы для представления нескольких вариантов, но выбора только одного
-
Определите логическую формулу ниже приведенной таблицы истинности

-
Для компьютера с IP адресом 192.135.65.102/24 определите IP адрес сети
-
Для компьютера с IP адресом 214.168.78.102/27 определите IP адрес сети
-
Результат следующего запроса

-
SELECT COUNT(DISTINCT column1) FROM table1;
-
Команда SQL используется для удаления таблицы
-
Оператор SQL для сортировки результатов запроса
-
Тип памяти, которая хранит дату, время и настройки компьютера
-
Проводные сети
-
Атрибуты тега <img>
-
Методы списков в Python, которые удаляют элемент из списка A
-
За передачу файлов по сети отвечает протокол
-
Определите соответствие данного числа в другой системе счисления
-
шестнадцатеричное число 1AF
-
десятичное число 231
-
Ниже представлена многотабличная база данных. Определите первичный и вторичный ключ

-
первичный ключ
-
вторичный ключ
-
Ниже представлена многотабличная база данных. Определите первичный и вторичный ключ

-
первичный ключ
-
вторичный ключ
-
Определите соответствие между протоколом и его назначением
-
протокол передачи сообщений по электронной почте
-
протокол получения сообщений по электронной почте
-
По количеству проданных продуктов за три дня была составлена таблица:

Определите соответствие строки таблицы и круговой диаграммы
-

-
