iTest қолданбасын жүктеп алу
Мектеп емтихандарына ыңғайлырақ форматта дайындалыңыз
1-нұсқа
-
Компьютердің базалық конфигурациясы бұл:
-
Шексіз пайдалану үшін қолжетімді IP адрес түрі
-
Ақпаратты ұсыну үшін қолданылатын, шектелген символдар жиыны
-
Алфавиттегі символдардың толық саны
-
30,2510 санының екілік санау жүйесіндегі мәні
-
31510 санының оналтылық санау жүйесіндегі мәні
-
Логикалық қосу
-
Символдар мен жұмыс жасайтын функциялардың қызметші сөздері
-
BIOS (Basic Input/Output System) –
-
Жұбы жоқ тегті анықтаңыз.
-
Кестедегі баған мен қатар тақырыптарын анықтайтын дескриптор
-
Қаралған сілтемелер түсін белгілейтін атрибут
-
<BGSOUND src=“duet.mid”> тегінің атқаратын жұмысы
-
Мәтінді төменгі индекс түрінде шығаратын тег
-
Төмендегі фрагменттерді пайдаланып толық IP-адрес құрастырыңыз.

-
output.txt файлында жазылатын мән
-
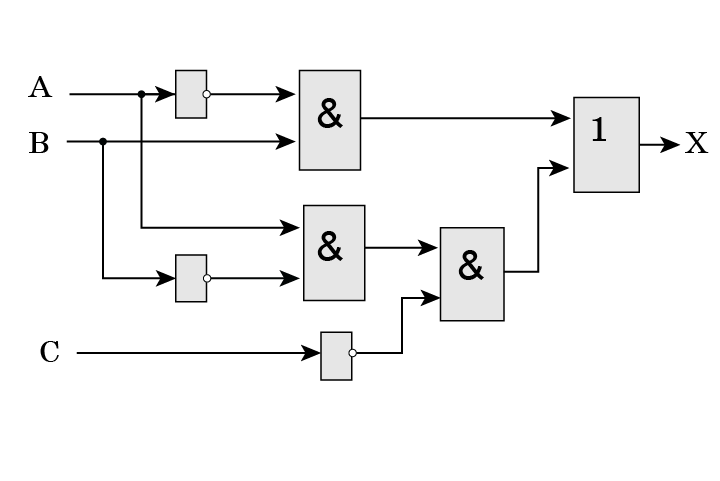
А, В, С айнымалыларының қандай мәндерінде логикалық схема «ақиқат» мән қабылдайтынын анықтаңыз.

-
F = (A+¬B)·¬(A·B) функциясы үшін ақиқат кесте
-
n = 629 және k = 2 болғанда алынатын нәтиже
-
n=4 болғанда алынатын нәтиже
-
Программа нәтижесін анықтаңыз.
-
Ондық санау жүйесінде берілген 62,5 санын оналтылық санау жүйесіне ауыстырыңыз:
-
Ондық санау жүйесінде берілген 43,125 санын оналтылық санау жүйесіне ауыстырыңыз:
-
Программадағы string айнымалысының мәні «I go to school» болғанда алынатын нәтиже
-
Берілген сөйлемдегі бос оырндардың санын есептейтін дұрыс программаны көрсетіңіз.
-
Ақпараттық қауіпсіздік қасиеттері мен олардың сипаттамалары арасында сәйкестікті орнатыңыз.
-
Берілген ақиқат кестелері және логикалық өрнектер арасындағы дұрыс сәйкестікті анықтаңыз.
-
Берілген HTML код және CSS стиль түрлері арасындағы дұрыс сәйкестікті анықтаңыз.
-
Web беттері мен HTML құжат арасындағы дұрыс сәйкестікті анықтаңыз.
-
JavaScript функциялары қолданылған HTML құжат және алынатын нәтижелер арасындағы дұрыс сәйкестікті анықтаңыз.
-
Компьютер шинасының түрлері:
-
В класына жататын IP-адрес мысалы:
-
Компьютерлік вирустардың вирус жұмысының алгоритмі бойынша жіктелуі:
-
Компьютерде терілген мақала 30 беттен тұрады. Бір бетте 40 жол, әр жолда 50 символ бар делік. Берілген мақаланың ақпараттық көлемі неге тең?
-
8 таңбалы алфавитпен жазылған, көлемі 120 бит болатын хабарлама қанша таңбадан тұрады?