iTest қолданбасын жүктеп алу
Мектеп емтихандарына ыңғайлырақ форматта дайындалыңыз
2-нұсқа
-
Төмендегі программа орындалғанда экранға нәтиже шығады?

-
Төмендегі программа орындалғанда экранға нәтижесін көрсетіңіз.

-
Берілген ақиқат кестесі фрагменті сәйкес келетін өрнекті анықтаңыз.

-
Берілген ақиқат кестесі фрагменті сәйкес келетін өрнекті анықтаңыз.

Қандай өрнек F сәйкес келеді?
-
Байланыс арнасынан бір компьютер істен шықса, желі жұмысын тоқтататын желі топологиясы
-
Джон фон Нейман архитектурасының негізінде жасалған ЭЕМ сызбасы
-
Mассив элементінің мәні нешеге тең, егер индексі 7-ге тең болса

-
Cуреттегі диаграммада түсіп қалған деректер мәнін қою үшін орындалатын іс-әрекеттер

-
Cандарды салыстыру \(3E5_{16} \ ? \ 1357_8\)
-
«kitaphana» кестесінің id=1 жолындағы суммаyы 3050 теңгеге жаңарту үшін жазылған дұрыс нұсқа
-
Берілген логикалық функцияның логикалық схемасын көрсетіңіз.

-
Берілген тізбектегі шығыс мәнін табыңыз

-
Хабарлама 256 таңбадан тұратын алфавит арқылы жазылады. Осы алфавиттің бір әрпі қанша ақпарат алады?
-
80 таңбадан тұратын және 128 таңбалы алфавиттің көмегімен жасалған хабарламаның ақпараттық көлемі
-
15 Петабайт = ? Зеттабайт
-
"I love Python!" хабарламасы Unicode қолдану арқылы кодталған, хабарламаның көлемін анықтаңыз.
-
Берілген тізбектегі шығыс мәнін табыңыз.

-
A = 1, B = 0, C = 0 теру кезінде F функциясының нәтижесін анықтаңыз.
(A+¬B)·C=˃B
-
HTML тілінде берілген кодтың нәтижесін анықтаңыз.

-
HTML тілінде берілген кодтың нәтижесін анықтаңыз.

-
HTML тілінде берілген кодтың нәтижесін анықтаңыз.

-
HTML тілінде берілген кодтың нәтижесін анықтаңыз.

-
HTML-де шектес бағандар ұяшықтарын біріктіретін атрибут атауы
-
HTML-де шектес жолдар ұяшықтарын біріктіретін атрибут атауы
-
HTML-ге суретті енгізу
-
Программа мен олардан алынатын нәтиже арасында сәйкестікті орнатыңыз.
-
Программаға сәкес n айнымалысы мәндері және алынатын нәтиже арасындағы сәйкестікті анықтаңыз.

-
Программа мен олардан алынатын нәтиже арасында сәйкестікті орнатыңыз.
-
Программа мен олардан алынатын нәтиже арасында сәйкестікті орнатыңыз.
-
Дана строка s = “Computer Science”. Результат срезов
-
Берілген сызбаға қолданылатын формула(-лар)

-

a=12, b=48 мәндерді енгізіп, программаны орындағаннан кейін input.txt файлында қандай мәлімет шығады?
-
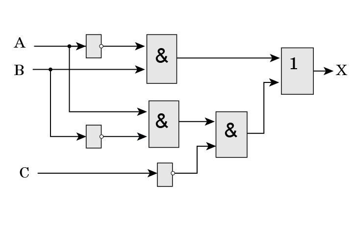
Aқиқат кестесін пайдаланып Х мәнін анықтаңыз,

-
\(85_{10}\) санын екілік және сегіздік жүйеге ауыстырыңыз.
-
Программада жіберілген қателерді анықтаңыз.
