Сдать пробный ЕНТ
Русский

Скачай приложение iTest

Готовься к школьным экзаменам в более удобном формате

Вариант 11



Вопросы
  1. Укажи одинаковые объемы информации.

  2. Десятичное число 156 записано в различных системах счисления

  3. Один из видов системы информационной безопасности – сетевая безопасность. Под сетевой безопасностью понимают все вопросы, связанные

  4. Чтобы связать PHP и MySQL, то есть получить данные из базы данных MySQL в PHP-скрипт, нужно знать

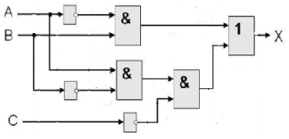
  5. При каких значениях переменных А, В, С значение выходного сигнала в приведенной ниже схеме равно 1?

  6. Cетевые протоколы электронной почты

  7. Топология сети, при которой в случае сбоя одного компьютера на канале связи вся сеть перестает работать, называется

  8. Отметь параметры инструмента «Условное форматирование».

  9. Типы данных в Excel, вводимых в ячейки, принято разделять 

  10. Каскадные таблицы стилей CSS используются для 

  11. В результате выполнения следующий код выведет на экран

  12. В нижеприведенном коде используются виды селекторов CSS

     

    <style type="text/css"> 

    .clp { font-size: 12 pt; text indent: 20px;}

    p#green {color: green}

    </style>

  13. Укажи стандартные форматы изображений для вставки на веб-страницу.

  14. Укажи числа в двоичной записи, содержащие ровно 3 единицы.

  15. DNS используется для

  16. Укажи типы виртуальной реальности.

  17. Правила григорианского календаря следующие:

    • год является високосным, если его число точно делится на 4 и не делится точно на 100;
    • год всегда високосный, если его номер точно делится на 400.

    Укажи логическое выражение для проверки високосного года.

  18. Укажи типы IP-адресов.

  19. В языке программирования Python к пользовательским подпрограммам относятся

  20. Дана переменная v целого типа с присвоенным значением. Укажи допустимые условия в цикле while.

Сообщить об ошибке